#4256 트리
난이도 : 골드 4
유형 : 트리 / 순회
4256번: 트리
첫째 줄에 테스트 케이스의 개수 T가 주어진다. 각 테스트 케이스의 첫째 줄에는 노드의 개수 n이 주어진다. (1 ≤ n ≤ 1,000) BT의 모든 노드에는 1부터 n까지 서로 다른 번호가 매겨져 있다. 다음
www.acmicpc.net
▸ 문제
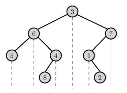
이진 트리는 매우 중요한 기본 자료 구조이다. 아래 그림은 루트 노드가 유일한 이진 트리이다. 모든 노드는 최대 2개의 자식 노드를 가질 수 있으며, 왼쪽 자식이 순서가 먼저이다. 노드 n개로 이루어진 이진 트리를 BT라고 하자. BT의 노드는 1부터 n까지 유일한 번호가 매겨져 있다.
아래 그림에 나와있는 BT의 루트는 3번 노드이다. 1번 노드는 오른쪽 자식만 가지고 있고, 4와 7은 왼쪽 자식만 가지고 있다. 3과 6은 왼쪽과 오른쪽 자식을 모두 가지고 있다. 나머지 노드는 모두 자식이 없으며, 이러한 노드는 리프 노드라고 부른다.

BT의 모든 노드를 순회하는 방법은 전위 순회(preorder), 중위 순회(inorder), 후위 순회(postorder)로 총 세 가지가 있다. 이 세 방법은 아래에 C 스타일의 의사 코드로 나와 있다. BT의 노드 v에 대해서, v.left는 왼쪽 자식, v.right는 오른쪽 자식을 나타낸다. v가 왼쪽 자식이 없으면 v.left는 ∅와 같고, 오른쪽 자식이 없으면 v.right는 ∅와 같다.

BT를 전위 순회, 중위 순회한 결과가 주어진다. 즉, 위의 함수 중 preorder(root node of BT)와 inorder(root node of BT)를 호출해서 만든 리스트가 주어진다. 두 순회한 결과를 가지고 다시 BT를 만들 수 있다. BT의 전위, 중위 순회한 결과가 주어졌을 때, 후위 순회했을 때의 결과를 구하는 프로그램을 작성하시오.
예를 들어, 위의 그림을 전위 순회하면 3,6,5,4,8,7,1,2, 중위 순회하면 5,6,8,4,3,1,2,7이 된다. 이를 이용해 후위 순회하면 5,8,4,6,2,1,7,3이 된다.
▸ 입력
첫째 줄에 테스트 케이스의 개수 T가 주어진다. 각 테스트 케이스의 첫째 줄에는 노드의 개수 n이 주어진다. (1 ≤ n ≤ 1,000) BT의 모든 노드에는 1부터 n까지 서로 다른 번호가 매겨져 있다. 다음 줄에는 BT를 전위 순회한 결과, 그 다음 줄에는 중위 순회한 결과가 주어진다. 항상 두 순회 결과로 유일한 이진 트리가 만들어지는 경우만 입력으로 주어진다.
▸ 출력
각 테스트 케이스마다 후위 순회한 결과를 출력 한다.
문제 풀이
전위, 중위 순회의 데이터로 후위 순회를 구해주면 된다. 트리 순회는 전위, 중위, 후위 순회 총 3가지가 있는데 이 중에 2개의 데이터만 있어도 트리의 구조를 쉽게 파악할 수 있다.
구상
전위 순회는 맨 앞에 있는 값이 루트이다. 그러므로 해당 루트의 데이터를 이용하여 중위 순회에서 왼쪽, 오른쪽 트리로 분할을 할 수가 있다.
- 전위 순회(preorder) root → left → right
- 중위 순회(inorder) left → root → right

설계
- root = pre[0] 이진트리의 루트노드를 시작으로 트리 순회를 시작한다.
- if(in[i] == root) inorder 데이터에서 루트 노드의 위치를 찾는다
- 왼쪽트리는 [s~i)의 범위를 가지고 root노드는 pre[현재 루트 노드 idx+1]를 가진다.
- 오른쪽트리는 [i+1,e)의 범위를 가지고 root노드는 pre[현재 루트 노드 idx+i-s+1]을 가진다.
- 이렇게 트리 구조를 탐색하며 후위 순회 데이터를 저장해준다.
- if(in[i] == root) inorder 데이터에서 루트 노드의 위치를 찾는다
풀이 코드
import java.io.BufferedReader;
import java.io.IOException;
import java.io.InputStreamReader;
import java.util.StringTokenizer;
public class Main {
static int[] pre,in;
static StringBuilder sb = new StringBuilder();
public static void main(String[] args) throws IOException{
BufferedReader br = new BufferedReader(new InputStreamReader(System.in));
StringTokenizer st = null;
int t = Integer.parseInt(br.readLine());
while(t-->0){
int n = Integer.parseInt(br.readLine());
pre = new int[n+1];
in = new int[n+1];
st = new StringTokenizer(br.readLine());
for(int i=0; i<n; i++) {
pre[i] = Integer.parseInt(st.nextToken());
}
st = new StringTokenizer(br.readLine());
for(int i=0; i<n; i++) {
in[i] = Integer.parseInt(st.nextToken());
}
traversal(0,0,n);
sb.append("\n");
}
System.out.println(sb.toString());
}
static void traversal(int root, int s, int e) {
int rootIdx = pre[root];
for(int i=s; i<e; i++) {
if(in[i] == rootIdx) {
traversal(root+1, s,i);
traversal(root+i+1-s, i+1,e);
sb.append(rootIdx +" ");
}
}
}
}'Dot Algo∙ DS > PS' 카테고리의 다른 글
| [프로그래머스] 2020 카카오 #1 문자열 압축 (Java) (0) | 2021.09.04 |
|---|---|
| [BOJ] 백준 2449번 전구 (Java) (0) | 2021.09.03 |
| [프로그래머스] 2019 카카오 블라인드 #7 블록 게임 (Java) (0) | 2021.09.01 |
| [프로그래머스] 2019 카카오 블라인드 #6 매칭 점수 (Java) (0) | 2021.09.01 |
| [프로그래머스] 2019 카카오 블라인드 #5 길 찾기 게임 (Java) (0) | 2021.09.01 |