우선순위 큐
우선순위 큐는 일반 큐와는 달리 우선순위가 가장 높은 자료가 가장 먼저 꺼내지는 자료구조이다.
- 수행할 작업이 여러 개 있고 시간이 제한되어 있을 때 우선순위가 높은 것부터 수행한다거나 하는 일이 자주있기 때문에 우선순위 큐 자료구조는 자주 쓰인다.
- 그 사용 예로, 시뮬레이션 시스템. 네트워크 제어, 작업 스케쥴링 등이 있다.
우선순위 큐를 구현하는 방법은 여러가지가 있다.
- 연결리스트, 배열
- 균형잡힌 이진 검색 트리
- 힙
먼저 간단하게 연결 리스트나 배열로 구현하면 해당 자료구조에 원소를 모두 집어넣고, 원소를 꺼낼 때 마다 모든 원소를 순회하며 우선순위가 높은 원소를 찾는 방식을 사용해야 하는데, 이러면 원소 추가 O(1), 검색 O(n)이 걸린다.
균형잡힌 이진 검색 트리로 구현하는 것은 소 잡는 칼로 닭을 잡는 격으로, 구현이 까다롭다. 원소들을 우선순위로 정렬해 두면 최대 원소를 찾아 삭제하는 일과 새 원소를 삽입하는 일 모두 O(logN) 시간에 할 수 있다.
가장 효율적인 방법은 바로 힙(Heap)으로 구현하는 것이다. 이진 검색 트리보다 훨씬 간단한 구조로 구현할 수 있고, 최적화된 형태의 이진 트리로, 힙을 사용하면 새 원소를 추가하는 연산과 가장 큰 원소를 꺼내는 연산 모두 O(logN) 시간에 할 수 있다.
| 연결리스트, 배열 | 균형잡힌 이진 검색 트리(BST) | 힙(Heap) | |
| 구현 | 구현 쉬움 | 구현 어려움 | 구현 쉬움 |
| 원소 추가 | O(1) | O(logN) | O(logN) |
| 원소 삭제 | O(n) | O(logN) | O(logN) |
힙 정의 및 구현
힙은 특정한 규칙을 만족하도록 구성된 이진 트리로, 단순히 최대 원소를 가능한 한 빠르게 찾을 수 있는 방법으로 설계되었기 떄문에 더 단순한 알고리즘으로도 효율적으로 동작할 수 있다.
대소 관계 규칙
힙의 가장 중요한 규칙은 부모 노드가 가진 원소는 항상 자식 노드가 가진 원소 이상이라는 것이다. 이를 힙의 대소 관계 규칙이라고 한다.
- 이진 검색 트리와는 달리 부모 자식 관계에만 적용되며, 왼쪽 자식과 오른쪽 자식이 갖는 원소의 크기는 제한하지 않는다.
- 이 규칙에 의하면 트리에서 가장 큰 원소는 항상 트리의 루트에 들어가므로, 최대 원소를 빨리 찾기를 원하는 힙의 목적에 잘 부합한다.

트리 높이 항상 일정하게 유지
이진 검색 트리에서도 문제가 되었던 편향 트리가 나오지 않게하기 위해서 힙은 트리의 높이를 항상 일정하게 유지하기 위해 트리의 구조에 제약을 둔다.
- 이것은 균형 잡힌 이진 검색 트리가 트리의 구조를 제약해 속도를 더 빠르게 하는 것과 같다.
힙의 모양 규칙
힙의 모양 규칙은 다음과 같은 두 가지 조건으로 이루어진다.
- 마지막 레벨을 제외한 모든 레벨에 노드가 꽉 차있어야 한다.
- 마지막 레벨에 노드가 있을 때는 항상 가장 왼쪽부터 채워져 있어야 한다.
이 두 가지의 모양 규칙을 모두 만족한다면, 트리에 포함된 노드의 개수만으로 트리의 모양이 정해진다. 예를 들어일곱 개의 원소가 들어 있는 모든 힙은 다음과 같은 상태를 가질 수 밖에 없다.
- 또한 이 규칙을 만족할 때 트리의 높이는 항상 logN이라는 사실도 쉽게 알 수 있다.
힙의 모양 규칙은 BST보다 훨씬 엄격하다. 이처럼 엄격한 조건을 내세울 수 있는 이유는 힙이 요구하는 대소 관계 조건이 BST가 요구하는 조건(중위 검색 결과가 정렬되어 있을 것)보다 훨씬 느슨하기 때문이다.

힙 구현
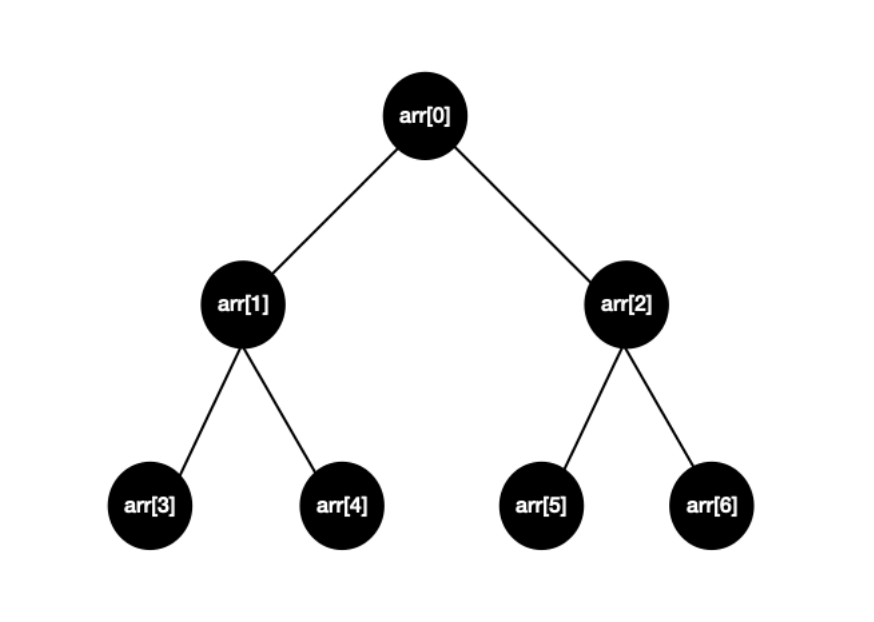
엄격한 규칙은 구현할 때 장점으로 작용한다. 트리의 포함된 노드의 개수만 알면 트리 전체 구조를 알 수 있기 때문이다. 그래서 대부분의 힙 구현은 이 점을 최대한 이용해 배열 하나로 전체 트리를 표현한다.
힙의 모양 규칙에 의해, n개의 노드가 있을 떄 이 노드들은 arr[0]에서 arr[n-1]까지 순차적으로 대응된다.
- arr[i]의 왼쪽 자식은 arr[2*i + 1]에 대응된다.
- arr[i]의 오른쪽 자식은 arr[2*i]에 대응된다.
- arr[i]의 부모는 arr[(i-1)/2]에 대응된다. (나눗셈 결과는 내림한다.)

힙 삽입(새 원소 추가)
새 원소를 추가할 때는 대소 관계 규칙 대신 모양 규칙을 먼저 만족시켜줘야 한다.
- 이진 검색 트리는 대소 관계 규칙에 따라 정해지지만 힙은 모양 규칙에 따라 정해진다. 트리의 크기가 증가했을 떄 새로 생겨나야 할 노드의 위치가 모양 규칙에 의해 결정되기 때문이다.
- 모양 규칙에 의해 항상 heap[]의 맨 끝에 추가된다.
모양 규칙을 만족시켰으면 이젠 대소 관계를 만족시켜주면 된다.
- 마지막에 추가한 새 원소를 자신의 부모 노드가 가진 원소와 비교하고, 부모 노드가 가진 원소가 작다면 두 원소의 위치를 바꾼다.
- 새 원소가 더 크거나 같은 원소를 가진 부모 노드를 만나거나, 루트에 도달할 때 까지 반복한다.

다음과 같이 구현 할 수 있다. 시간 복잡도는 트리의 높이인 O(logN)이다.
public void push(int val){
heap.add(val);
int idx = heap.size()-1;
// 루트에 도달하거나 새 원소 이상의 원소를 가진 조상을 만날 때 까지
// idx 0부터 시작하므로 idx-1
while(idx > 0 && heap.get((idx-1)/2) < heap.get(idx)){
swap((idx-1)/2, idx, heap.get((idx-1)/2), heap.get(idx));
idx = (idx-1)/2; // 부모로 이동
}
}
private void swap(int to, int from, int a, int b) {
int tmp = a;
heap.set(to, b);
heap.set(from, tmp);
}
힙 삭제(최대 원소 꺼내기)
최대 원소를 찾는 것은 간단한데 문제는 최대 원소를 힙에서 꺼내는 일이다. 엄격한 모양 제한 때문에 이진 검색 트리처럼 구현하기는 까다롭다. 그래서 이번에도 모양 규칙을 먼저 고려해줘야 한다.
- 어차피 마지막 노드는 지워질 운명이기 때문에, 이 노드를 일단 지우고 시작한다. 이 노드는 리프이기 떄문에 노드가 지워진다고 해도 힙의 구조에 끼치는 영향은 없다.
- 그리고 이 마지막 노드에 있던 원소를 루트에 옮겨준다.
이제 대소 관계를 만족시키기만 하면 된다.
- 힙의 대소 관계를 만족시키려면 원래 루트의 두 자식이 가지고 있던 원소 중 큰 쪽이 루트에 올라온다.
- 이 작업을 트리의 바닥에 도달하거나, 두 자손이 모두 자기 자신 이하의 원소를 갖고 있을 때까지 반복한다.

while문의 내부가 한 번 실행될 때마다 트리의 아래 레벨로 내려가기 때문에, 시간 복잡도는 O(logN)이 된다.
public int pop(){
if(heap.isEmpty()) return 0;
int delete = heap.get(0);
heap.set(0, heap.get(heap.size()-1));
heap.remove(heap.size()-1);
int here = 0;
while(true){
int left = here * 2 + 1, right = here * 2 + 2;
// 리프에 도달한 경우
if(left >= heap.size()) break;
// heap[here]이 내려갈 위치를 찾는다.
int next = here;
// here vs 왼쪽 자식 노드
if(heap.get(next) < heap.get(left)){
next = left;
}
// 위 결과 vs 오른쪽 자식 노드
if(right < heap.size() && heap.get(next) < heap.get(right)){
next = right;
}
if(next == here) break;
swap(here, next, heap.get(here), heap.get(next));
here = next;
}
return delete;
}
private void swap(int to, int from, int a, int b) {
int tmp = a;
heap.set(to, b);
heap.set(from, tmp);
}
MaxHeap 구현 코드
전체 구현 코드는 다음과 같다.
public class MaxHeap {
private List<Integer> heap;
public MaxHeap() {
heap = new ArrayList<>();
}
// 정수를 담는 최대 힙에 새 원소 삽입
public void push(int val){
heap.add(val);
int idx = heap.size()-1;
// 루트에 도달하거나 새 원소 이상의 원소를 가진 조상을 만날 때 까지
// idx 0부터 시작하므로 idx-1
while(idx > 0 && heap.get((idx-1)/2) < heap.get(idx)){
swap((idx-1)/2, idx, heap.get((idx-1)/2), heap.get(idx));
idx = (idx-1)/2; // 부모로 이동
}
}
private void swap(int to, int from, int a, int b) {
int tmp = a;
heap.set(to, b);
heap.set(from, tmp);
}
public int pop(){
if(heap.isEmpty()) return 0;
int delete = heap.get(0);
heap.set(0, heap.get(heap.size()-1));
heap.remove(heap.size()-1);
int here = 0;
while(true){
int left = here * 2 + 1, right = here * 2 + 2;
// 리프에 도달한 경우
if(left >= heap.size()) break;
// heap[here]이 내려갈 위치를 찾는다.
int next = here;
// here vs 왼쪽 자식 노드
if(heap.get(next) < heap.get(left)){
next = left;
}
// 위 결과 vs 오른쪽 자식 노드
if(right < heap.size() && heap.get(next) < heap.get(right)){
next = right;
}
if(next == here) break;
swap(here, next, heap.get(here), heap.get(next));
here = next;
}
return delete;
}
public static void main(String[] args) {
MaxHeap heap = new MaxHeap();
Random random = new Random();
for(int i=0; i<100; i++){
heap.push(random.nextInt(100));
}
System.out.println(heap);
for(int i=0; i<100; i++){
System.out.println(heap.pop());
}
}
}'Dot Algo∙ DS > 자료구조' 카테고리의 다른 글
| 해시(Hash)와 해시 테이블(Hash Table) (0) | 2022.05.05 |
|---|---|
| 트라이(Trie) 문자열 탐색 트리 개념 정리 (Java) (0) | 2021.09.08 |
| [자료구조] 세그먼트 트리 Segment Tree (Java) (0) | 2021.06.16 |
| [자료구조] BinaryTree 정리 (Java) (0) | 2021.04.09 |
| [자료구조] Stack와 Queue 정리 (Java) (0) | 2021.04.06 |