동적계획법 Dynamic Programming
동적 계획법은 프로그래밍 대회 문제에 가장 자주 출현하는 디자인 패러다임 중 하나로, 이름만 가지고는 무엇을 의미하는지 영 알 수 없기 때문에 가장 많은 오해를 불러 일으키는 주제이기도 하다.
Dynamic? 동적? 기억하기?
자료구조의 동적할당(Dynamic Allocation)에서 '동적'은 '프로그램이 실행되는 도중에 실행에 필요한 메모리를 할당하는 기법'을 의미한다. 그러나, 알고리즘의 동적 계획법(Dynamic Programming)에서 '동적'은 별 뜻 없다 그냥 '기억하기'라고 생각하면 편하다. '프로그래밍'은 컴퓨터 프로그래밍이 아니라 테이블을 만든다는 뜻이다.
중복되는 부분 문제
피보나치 수열을 코딩하려고 한다. 점화식이 F(n) = F(n-1) + F(n-2)이기 때문에 단순 재귀 함수로 구현해보자.
단순 재귀 코드
public class Simple {
public static void main(String[] args) {
Scanner sc = new Scanner(System.in);
int n = sc.nextInt();
dp = new int[n+1];
System.out.println(fibo(n));
}
// 단순 재귀
static int fibo(int x) {
if( x ==1 || x==2) return 1;
return fibo(x-1) + fibo(x-2);
}
}
위와 같이 메모이제이션을 사용하지 않으면 같은 함수를 계속해서 중복 호출을 하기 때문에 재귀함수로 구현을 하면 시간복잡도 O(2^n)을 갖게 된다. 다음 그림과 같이 중복되는 호출로 인해 굉장히 좋지 않은 효율을 갖는 것을 볼 수 있다.

좀 더 효율적으로 코딩할 방법은 없을까?
DP 문제가 성립할 조건
이럴 때 DP를 사용하면 된다. 단순 재귀코드보다 높은 효율을 갖는 코드를 설계할 수 있다.
- 최적 부분 구조(Optimal Substructure)
- 상위 문제를 하위 문제로 나눌 수 있으며 하위 문제의 답을 모아서 상위 문제를 해결할 수 있다.
- 중복되는 부분 문제(Overlapping Subproblem)
- 동일한 작은 문제를 반복적으로 해결해야 한다.
→ 그러므로, 피보나치 수열은 DP 사용조건에 만족한다
DP 알고리즘 기법은 무엇인가?
DP 알고리즘 기법은 이미 계산된 결과(하위 문제)는 별도의 메모리 영역에 저장하여 다시 계산하지 않도록 설계함으로써 메모리를 적절히 사용하여 수행 시간 효율성을 비약적으로 향상시키는 방법이다.
DP 구현 방법은 일반적으로 두 가지 방식, Top-down(하향식)과 Bottom-up(상향식)으로 구성된다.
Top-down VS Bottom-up
Top-down(하향식)
상위 문제를 해결하기 위해서 하위 문제를 재귀적으로 호출하여 하위 문제를 해결함으로써 상위 문제를 해결하는 방식이다. 이 때 해결해놓은 하위 문제를 저장해 놓기 위해 Memoization이 사용된다.
피보나치 함수를 만들 때 Top-down은 재귀 호출을 사용하여 구현한다
public class Topdown {
static int[] dp;
public static void main(String[] args) {
Scanner sc = new Scanner(System.in);
int n = sc.nextInt();
dp = new int[n+1];
System.out.println(fibo(n));
}
// Top-down
static int fibo(int x) {
if( x ==1 || x==2) return 1;
if(dp[x] != 0) return dp[x];
dp[x] = fibo(x-1) + fibo(x-2);
return dp[x];
}
}
Bottom-up(상향식)
하위에서부터 문제를 해결해나가면서 먼저 계산했던 문제들의 값을 활용해서 상위 문제를 해결해나가는 방식으로 DP의 전형적인 형태는 Bottom-up이다. 여기서 사용되는 문제 결과 값 저장용 리스트는 DP 테이블이라고 부른다.
Bottom-up 방식은 반복문을 사용해서 구현한다.
public class Bottomup {
static int[] dp;
public static void main(String[] args) {
Scanner sc = new Scanner(System.in);
int n = sc.nextInt();
dp = new int[n+1];
System.out.println(fibo(n));
}
// Bottom-up
static int fibo(int x) {
dp[1] =1;
dp[2] =1;
for(int i=3; i<x+1; i++) {
dp[i] = dp[i-1] + dp[i-2];
}
return dp[x];
}
}
메모제이션 Memoization
메모이제이션은 DP구현 방법 중 하나로, 한 번 계산한 결과를 메모리 공간에 메모하는 기법이다. 이를 사용하면 모든 부분 문제가 한 번씩만 계산된다고 보장할 수 있기 때문에 함수 호출 횟수가 엄청나게 감소함을 예상할 수 있다.
위의 단순 재귀코드와 Top-down의 코드를 비교해보면 직관적으로 이해하기 쉽다.
// 일반 재귀 함수
// 중복된 계산을 반복해서 하게 된다. 시간복잡도 O(2^n)으로 x의 수가 커질수록 복잡도가 엄청나게 커짐
static int fibo(int x) {
if( x ==1 || x==2) return 1;
return fibo(x-1) + fibo(x-2);
}
// Memoization
// 하위 문제의 결과 값을 dp[]배열에 저장해놓고 필요할 때마다 계산된 값을 호출
static int fibo(int x) {
if( x ==1 || x==2) return 1;
if(dp[x] != 0) return dp[x];
dp[x] = fibo(x-1) + fibo(x-2);
return dp[x];
}
메모제이션 특징
- 같은 문제를 다시 호출 하면 메모했던 결과를 그대로 가져온다
- 값을 기록해 놓는다는 점에서 캐싱(Cachig)이라고 한다
- DP에만 국한된 개념이 아니다. 한 번 계산된 결과를 담아 놓기만 하고 DP가 아닌 다른 방식으로도 사용될 수 있다. (캐싱,메모이제이션)
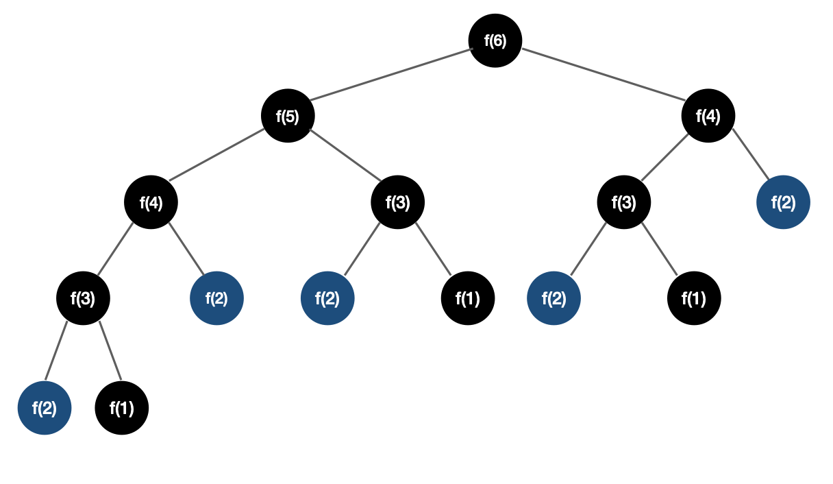
피보나치 함수를 예로 들었을 때, 이미 계산된 결과를 저장하면 아래의 색칠된 노드만 계산이 처리되어 프로그램의 작업 처리속도를 크게 향상시킬 수 있다.

동적계획법 (DP) VS 분할정복 (Divide and Conquer)
최적 부분 구조는 분할 정복(Divide and conquer) 방식으로 풀 수 있다. DP와 분할 정복은 해당 문제가 최적 부분 구조의 조건을 가질 때 사용할 수 있다. 상위 문제를 작게 하위 문제로 나누어 해결하는 방식으로 처리하면 된다.
그러나! 차이점은 하위 문제의 중복이다.
하위 문제가 독립적이지 않고 중복이 되는 경우에는 DP의 방식이 분할정복보다는 더 나은 시간복잡도를 가진다. 왜냐하면 분할정복에서는 동일한 하위 문제는 각각 독립적으로 구성되어 있으므로 반복적인 계산이 되지 않기 때문이다

'Dot Algo∙ DS > 알고리즘 개념' 카테고리의 다른 글
| [알고리즘/ 그래프] 위상 정렬 (topology Sort) (Java) (0) | 2021.04.23 |
|---|---|
| [알고리즘/ 그래프] 최소 스패닝 트리 - 크루스칼(Kruskal)과 프림(Prim) 알고리즘 (Java) (0) | 2021.04.22 |
| [알고리즘/ 그래프] 서로소 집합 자료구조 Union-find (Java) (0) | 2021.04.21 |
| [알고리즘/ 그래프] DFS와 BFS 정리 (Java) (0) | 2021.03.22 |
| [알고리즘/ 그래프] 다익스트라(Dijkstra) vs 플로이드 와샬(Floyd Warshall) (JAVA) (0) | 2021.03.05 |